Käytännön matemaattista antia

Ideana on vähitellen hyödyntää fiksujen laskimien parhaita ominaisuuksia. Tätä materiaalia on tarkoitus myöhemmin osittain julkaista Bulwania Wikiassa ja sieltä olisi myös linkkejä tänne. Kauas vaan on pitkä matka.

Tarkoitus ei ole opettaa täällä matematiikkaa. Oletus on että perusmatematiikka on jo aika hyvin hallussa. Tarkoitus ei myöskään ole opettaa laskimien peruskäyttöä, vaan nappulatekniikka oletetaan olevan hallussa. Tarkoitus on näyttää miten fiksuja laskimia voi käyttää hyödyksi.

Eli vielä ei siis ole paljon muuta kuin hurskas aikomus, mutta ans kattoo ny.

Tokihan tätä työsarkaa täytyy hiukan opetella ja kokeilla ensin.

Polynomit, nuo vanhat veikeät veijarit

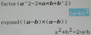
CAS-laskin ("Computer Algebra System") kesyttää polynomit. Kuvissa antaa tyylinäytteen ensin Amerikan ihme Texas Instruments TI-nspire CX CAS. Katsotaanpa tuttuja perustapauksia eri suuntiin:

a2 - b2  =  (a+b)·(a-b)

Näinhän se on, koska kertolasku auki kirjoittaen saadaan:

(a+b)·(a-b)  =  a2  - a·b + b·a  - b2  =  a2 - b2

Kuten kuvasta näkyy, funktio factor jakaa tekijöihin, funktio expand "laajentaa" eli ratkaisee, kertoo auki ja jakolaskukin onnistuu polynomeilla ihan sukkana. Murtolauseketta syötettäessä Texasissa on parasta käyttää sulkuja osoittajan ja nimittäjän erottamiseksi. Texas editoi sitten itse lausekkeeseen jakoviivan.

Jakohan menee tässä tasan, ei jakojäännöstä, koska sekä binomi a2 - b2 että trinomi a2 + 2·a·b + b2 jaetaan toisella tekijällään.

Jokaisen selkäytimestä löytyvät myös kaavat tulon ja erotuksen neliölle:

(a + b)2  =  a2 + 2·a·b + b2
(a - b)2  =  a2 - 2·a·b + b2

Fiksua on pystyä soveltamaan näitä kaavoja molempiin suuntiin eri tilanteissa, myös numerovakioiden kanssa.

Texasin kanssa samassa tyrnevässä hintaluokassa kilpaileva itämainen symbolisen laskimen implementaatio Casio fx-CP400 on hiukan erilainen käyttää. Siitäkin muutama esimerkki kuvin.

On hyvä muistaa Casion näytön ylälaidassa jököttävä nappula Simp joka muokkaa viimeisimmän vastauksen eri muotoon. Sen tarkoitus on "yksinkertaistaa" tulosta - simplify. Simppelinä sieluna olisin itse kuitenkin sitä mieltä että se monasti vasta tuottaa sen varsinaisesti halutun tuloksen.

Casiosta löytyy polynomien ratkomiseen vastaavat funktiot factor ja expand kuin Texasista. Monasti yläväkänen ^ on potenssiinkorotuksen merkki, esim a^2 tarkoittaa luvun a toista potenssia eli a^2 = a·a = a2 .

Termien järjestys tuloksessa voi hiukan vaihdella, mutta merkityshän on sama. Muistia ans kannattaa monasti käyttää, sieltä löytyy viimeksi suoritetun operaation tulos. Ja onhan laskimissa myös "kopioi ja liitä" -toiminto, joten kaikkea ei tarvitse kirjoittaa aina uudelleen.

Funktioiden nimiä ei tokikaan saa yrittää kirjoittaa kirjaimittain, yksi kerrallaan, vaan on nöyrästi etsittävä funktion tunnus funktioiden listasta ja valittava se. Laskin ei tunnista peräkkäisiä kirjaimia funktion nimeksi vaikka se ihmisestä näyttää samalta.

Eivät myöskään nuo tunnukset a ja b näissä esimerkeissä ole mitä tahansa merkkejä tai kirjaimia, vaan niiden täytyy olla nimenomaan sallittuja muuttujanimiä.

Polynomien jakolasku toimii Casiossakin, mutta tosiaan painikkeelle Simp löytyy jälleen käyttöä. Jakoviiva löytyy suoraan eräänä valintana graafisesta valikosta, joten sulkujen kanssa ei tarvitse pelehtiä niin paljon kuin Texasissa.

Tokihan haluamme oikeasti ratkoa näitä perusrytkyjä huomattavasti pulmallisempia tapauksia. Näiden alustavien jorinoiden tarkoitus on vaan se että osoitetaan konkreettisesti että homma todella skulaa.


Takaisin